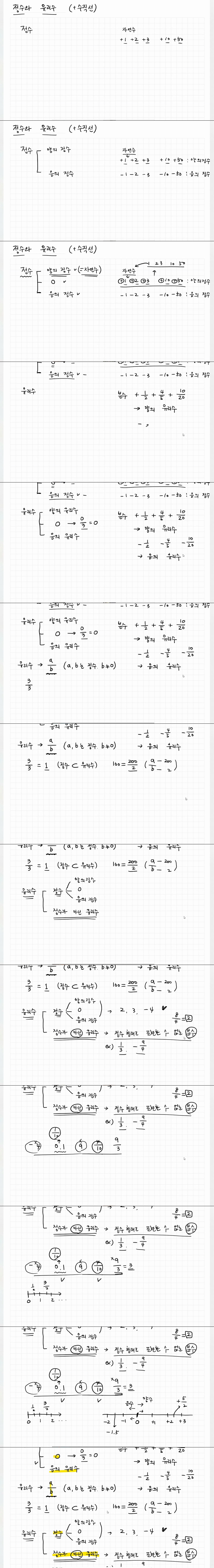
교육 중1 수학 정수와 [중1 수학] 중1-1-8. 정수와 유리수, 수직선 jibori 2026.04.24 5,423 25.0M 다운로드 1개 파일 [중1 수학] 중1-1-8. 정수와 유리수, 수직선.mp4 25.0M 다운 추천 349 북마크 공유 목록 Tags 중1 수학 정수와 유리수 수직선